CSU Baseline Results on the Feret Database


CSU Face Idenification Evaluation System 5.0
Result generated at: Tue Apr 29 20:07:02 MDT 2003

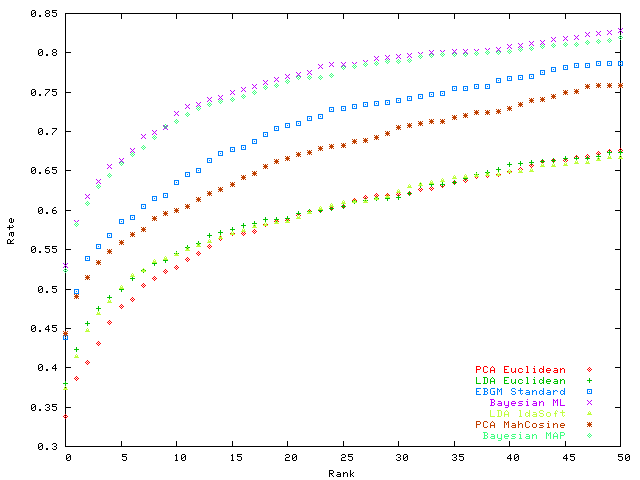
FAFB Results:


Recognition curves in text format. (FAFB_Curve.txt)
Individual Recogntion Counts. (FAFB_Images.txt)
Recongnition curves image. (FAFB_Curve.png)
Postscript figure(FAFB_Curve.eps)

FAFC Results:


Recognition curves in text format. (FAFC_Curve.txt)
Individual Recogntion Counts. (FAFC_Images.txt)
Recongnition curves image. (FAFC_Curve.png)
Postscript figure(FAFC_Curve.eps)

DUP1 Results:


Recognition curves in text format. (DUP1_Curve.txt)
Individual Recogntion Counts. (DUP1_Images.txt)
Recongnition curves image. (DUP1_Curve.png)
Postscript figure(DUP1_Curve.eps)

DUP2 Results:


Recognition curves in text format. (DUP2_Curve.txt)
Individual Recogntion Counts. (DUP2_Images.txt)
Recongnition curves image. (DUP2_Curve.png)
Postscript figure(DUP2_Curve.eps)

Permute Results:


Summary (Perm_Rank1.html)

Recognition rate curves with error bounds. (PermBayesian_MAP_CMCurve.txt)
Histogram data of recognition rate counts. (PermBayesian_MAP_HistCounts.txt)
Histogram data of recognition rate probablities. (PermBayesian_MAP_HistProbs.txt)

Recognition rate curves with error bounds. (PermBayesian_ML_CMCurve.txt)
Histogram data of recognition rate counts. (PermBayesian_ML_HistCounts.txt)
Histogram data of recognition rate probablities. (PermBayesian_ML_HistProbs.txt)

Recognition rate curves with error bounds. (PermEBGM_Standard_CMCurve.txt)
Histogram data of recognition rate counts. (PermEBGM_Standard_HistCounts.txt)
Histogram data of recognition rate probablities. (PermEBGM_Standard_HistProbs.txt)

Recognition rate curves with error bounds. (PermLDA_Euclidean_CMCurve.txt)
Histogram data of recognition rate counts. (PermLDA_Euclidean_HistCounts.txt)
Histogram data of recognition rate probablities. (PermLDA_Euclidean_HistProbs.txt)

Recognition rate curves with error bounds. (PermLDA_ldaSoft_CMCurve.txt)
Histogram data of recognition rate counts. (PermLDA_ldaSoft_HistCounts.txt)
Histogram data of recognition rate probablities. (PermLDA_ldaSoft_HistProbs.txt)

Recognition rate curves with error bounds. (PermPCA_Euclidean_CMCurve.txt)
Histogram data of recognition rate counts. (PermPCA_Euclidean_HistCounts.txt)
Histogram data of recognition rate probablities. (PermPCA_Euclidean_HistProbs.txt)

Recognition rate curves with error bounds. (PermPCA_MahCosine_CMCurve.txt)
Histogram data of recognition rate counts. (PermPCA_MahCosine_HistCounts.txt)
Histogram data of recognition rate probablities. (PermPCA_MahCosine_HistProbs.txt)