Heap Implementation

Objectives
  • Create a priority queue using a heap data structure.

  • Create a heap data structure using an ArrayList representing a complete binary tree.

  • Observe another way to provide default method implementations.

    • We’ve already seen shared code in an abstract base class.

    • Now we’ll see shared code in the interface itself

Getting Started

Import Heap-starter.jar into your Lab 12 project from Tuesday.

Your directory should look like this:

L12/
└── src
    ├── AQueue.java
    ├── ArrayQueue.java
    ├── Heap.java
    ├── IPriorityQueue.java
    ├── IQueue.java
    ├── LinkedQueue.java
    ├── QueueTestProgram.java
    └── ResizingArrayQueue.java

And now your class structure can be represented using the following UML diagram:

UML Diagram

This recitation is an optional partner recitation. I encourage you guys to discuss implementation details and to actively discuss the different topics that this week’s recitations approach. You don’t need to have the same partner as the last recitation.

If you choose to work with a partner and do not complete the required work, then it is your responsibility to finish the lab on your own. Each person should type their own code. I also recommend coming back to this recitation on your own time and seeing how fast you can implement it without help from other students or TAs. This is something you can be asked to implement on a technical interview.

Description

Priority queues always give the highest priority element in the queue, rather than the element that has been in the queue for the longest time (a FIFO queue). Priority queues are useful building blocks in designing other algorithms and data structures. They can also be used to sort things! You can implement a priority queue in many different ways. An efficient and beautiful algorithm for this task is a binary heap data structure.

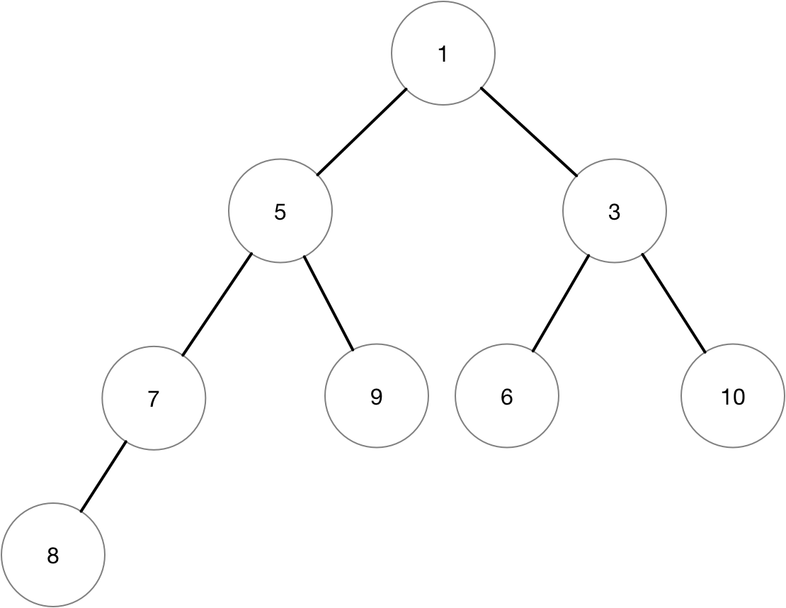
A binary heap is conceptually a binary tree; there is a special element known as the root. The root has up to two children. The children may each have up to two children. So on and so forth.

Array as a binary tree

A binary heap is a special binary tree that organizes the elements based on their relative priority. The rule is: every element in the tree is has at least as much priority as any of its children. Thus the root is a maximum priority element among all elements in the heap.

There are simple algorithms for adding an element to a heap and removing an element from a heap:

  • To add an element:

    • Make it the child of any element in the tree with fewer than two children.

      • For efficiency and the purposes of this class, we want to maintain a complete tree.

    • Then check if it is higher priority than its parent. If it is, swap the two elements in the tree.

      • Now check its priority relative to the grandparent, swapping if there is a priority inversion.

      • Repeat as necessary.

  • To remove an element:

    • A highest priority element is the root element. Removing it might leave children without a parent.

      • Swap a leaf element (an element with no children) with the root element.

      • Remove the old root element from the tree, which is ok since it now has no children.

    • Since the new root may not be at least as priority as both its children, check its priority relative to both its children.

      • If the highest priority child is higher priority than the new root, swap them in the tree.

      • Now check its priority relative to its new children, swapping if there is a priority inversion.

      • Repeat as necessary.

Note
In this class we will only consider using complete trees. We do this because it guarantees efficiency. Heap operations on a complete tree are O(log(n)). Also, we can then represent the tree with contiguous memory slots (arrays or growable-arrays), which further improves efficiency by a constant factor.

In this recitation you will build a heap data structure using an ArrayList to represent the tree.

Here are some properties of the tree:

  • The root element is defined to be at index 0 of the list.

  • To access the:

    • parent of index i: (i-1) / 2

    • left child of index i: 2*i + 1

    • right child of index i: 2*i + 2

Thus, the children of the root are stored at indices 1 and 2. The children of 2 are stored in 5 and 6.

Array as a binary tree

When adding a new element, add it at the next available position in the array. This ensures that the tree remains a complete binary tree. When removing the root, swap it with the highest index element in the tree before removal. This ensures that the tree stays complete.

Heap in tree
Instructions

Follow the javadocs!

When finished, the sample code in Heap.main may print this out.

Heap debug:
 PARENT: 1 LEFT CHILD: 9 RIGHT CHILD: 5
Heap debug:
 PARENT: 1 LEFT CHILD: 3 RIGHT CHILD: 5
 PARENT: 3 LEFT CHILD: 9 RIGHT CHILD: 7
Heap debug:
 PARENT: 0 LEFT CHILD: 3 RIGHT CHILD: 1
 PARENT: 3 LEFT CHILD: 9 RIGHT CHILD: 7
 PARENT: 1 LEFT CHILD: 5 RIGHT CHILD: 8
0
Heap debug:
 PARENT: 1 LEFT CHILD: 3 RIGHT CHILD: 5
 PARENT: 3 LEFT CHILD: 9 RIGHT CHILD: 7
 PARENT: 5 LEFT CHILD: 8
1
Heap debug:
 PARENT: 3 LEFT CHILD: 7 RIGHT CHILD: 5
 PARENT: 7 LEFT CHILD: 9 RIGHT CHILD: 8
3
Heap debug:
 PARENT: 5 LEFT CHILD: 7 RIGHT CHILD: 8
 PARENT: 7 LEFT CHILD: 9
Heap debug:
 PARENT: 4 LEFT CHILD: 5 RIGHT CHILD: 8
 PARENT: 5 LEFT CHILD: 9 RIGHT CHILD: 7
Heap debug:
 PARENT: 2 LEFT CHILD: 5 RIGHT CHILD: 4
 PARENT: 5 LEFT CHILD: 9 RIGHT CHILD: 7
 PARENT: 4 LEFT CHILD: 8
Heap debug:
 PARENT: 2 LEFT CHILD: 5 RIGHT CHILD: 4
 PARENT: 5 LEFT CHILD: 9 RIGHT CHILD: 7
 PARENT: 4 LEFT CHILD: 8 RIGHT CHILD: 4

Once you have tested you methods individually, run your heap implementation through test cases using QueueTestProgram.

Submission

To receive credit for this recitation show your TA or helper that you have completed the code for Heap.java, tested each method individually, and then sanity checked your program by running it through test cases using QueueTestProgram.